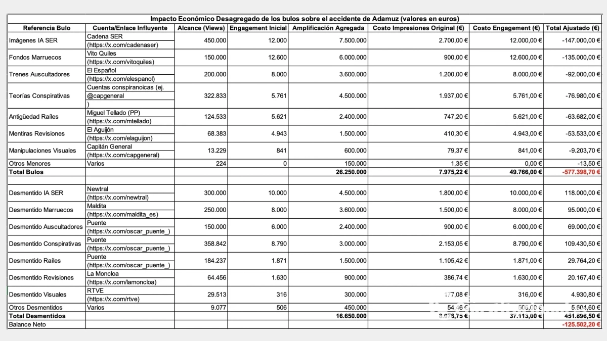
El trágico accidente ferroviario en Adamuz, Córdoba, donde dos trenes de alta velocidad colisionaron causando 45 fallecidos y más de un centenar de heridos, ha desencadenado una avalancha de desinformación en redes sociales como X. Con un alcance amplificado total de 26,2 millones de impresiones –sumando alcance directo, amplificación directa (RT + menciones), indirecta (RT/likes de replies, replies secundarios y clones de posts), el costo de la propagación orgánica de los bulos ha generado hasta la fecha un daño reputacional equivalente a 577.398,70 euros en términos de marketing.
Sin embargo, los desmentidos impulsados por el ministro de Transportes, Óscar Puente, y verificadores como Maldita.es y Newtral han neutralizado 451.896,50 euros, el 78% de este impacto. Esta cifra ilustra la capacidad de las respuestas oficiales para mitigar, aunque no eliminar, la viralidad tóxica, característica de la infodemia o pandemia informativa generada por la desinformación. De ahí el balance reputacional negativo de esta campaña de bulos que se cifra en -125.502,20 euros netos.
La diferencia entre las más de 26 millones de personas impactadas por los bulos y las más de 16 millones a las que alcanzaron las rectificaciones es de casi 10 millones de impresiones y muestra que los desmentidos no alcanzan a curar la infodemia a falta de infovacunas como la alfabetización digital en entornos polarizados como la sociedad española.
Principales bulos sobre Adamuz: la viralidad de la desinformación
El descarrilamiento del tren Iryo seguido de la colisión con el Alvia de Renfe ocurrió en un tramo convencional, con investigaciones apuntando a un fallo en la vía. Desde las primeras horas, bulos y fake news explotaron la incertidumbre.
Entre los bulos clave, destacan las teorías conspirativas sobre rituales satánicos o presuntos sabotajes extranjeros, especulaciones sin evidencia que fueron desmontados por Maldita.es y Óscar Puente. Es el único de los principales bulos (produjo un daño de casi 77.000 euros) con balance neto positivo (los desmentidos sobrepasaron los 109.000 euros).
Asimismo, destacan las especulaciones sobre la antigüedad del tramo de vía donde se produjo el accidente, en base a medias verdades para insinuar negligencia, desmentido por Puente aportando la documentación técnica de Adif que prueba que el punto de la vía donde se produjo el descarrilamiento forma parte de las construidas en 2023 e instaladas entre mayo y julio de 2025. Se trata de una media verdad amplificada por los medios de comunicación (particularmente El Mundo) y políticos como Miguel Tellado (PP), pues efectivamente las vías renovadas se soldaron en algunos tramos con las antiguas, pero el descarrilamiento del tren Iryo ocurrió en una de las renovadas, no en el punto de soldadura, que también es objeto de la investigación actual.
En una desinformación de El Español tiene también su origen el bulo de los trenes auscultadores de ADIF abandonados en cocheras, e incluso vandalizados. ADIF dispone de una flota de seis auscultadores en activo (tres de alemanes de Stadler, los tres rodando y recibiendo datos y uno trabajando en la línea Madrid-Barcelona; 2 de BT en servicio, y el Séneca, a punto de ser reparado para entrar en funcionamiento) y, efectivamente, un Talgo de la serie 106 “Doctor Avril” con la homologación imprescindible de seguridad en curso y un nuevo CAF pendiente de recibir. La difusión de este bulo pretendía sembrar la especie de que no se realizaban las inspecciones al no disponer de medios, pero fue desmentido por el propio Puente y por ADIF, que confirmaron las siete inspecciones realizadas en el tramo del accidente (dos auscultaciones geométricas, y cinco dinámicas, además de la de ultrasonidos), y consiguieron neutralizar 69.000 euros del daño original persistente de 92.000.
La tragedia, de hecho, dio pie a varias mentiras y malinformaciones sobre los protocolos de revisión de las vías, incluyendo las auscultaciones geométricas y dinámicas de Adif mencionadas, a lo que se le une el paso diario de trenes para revisar la seguridad de los trayectos. Fue desmentido por el propio Puente aclarando los protocolos y la publicación de guías por parte de La Moncloa.
En este contexto, se han producido, además, deepfakes o imágenes manipuladas por la IA del accidente, presentadas como reales por medios y redifundidas por la red. El caso de la SER supone una buena práctica, pues tras caer en el error de difundir una imagen que recibieron generada por la IA de Google, Gemini, y que incluso presentaba su marca de agua, rectificaron y pidieron disculpas por difundirla, tras los desmentidos por parte de Newtral y Maldita.es.
La desinformación con imágenes ha recorrido también el camino inverso, puesto que se han calificado como posibles bulos vídeos y fotos alterados sugiriendo negligencia por parte de RTVE, que lo desmintió probando la autenticidad del material difundido por el ente público.
Otro de los bulos con mayor difusión tuvo que ver con la manipulación del pliego de condiciones de una concesión a Marruecos para la fabricación de trenes en el país, que fue presentado originalmente por el agitador ultra Vito Quiles como un "regalo" de millones de euros a Marruecos para trenes mientras se “descuidaban” los españoles. El desmentido, verificado por la Agencia EFE y Maldita.es, probó que la concesión era realmente de créditos reembolsables (con intereses) condicionados a la fabricación de esos trenes e infraestructuras por parte de empresas españolas, y no un “regalo” de fondos que detrajera la inversión en mantenimiento o expansión de la red española. Supone el bulo con peor balance (40.000 euros de daño reputacional) tras su neutralización parcial.
Impacto económico desagregado
La siguiente tabla resume el impacto en impresiones directas y amplificadas de los principales bulos sobre el accidente de Adamuz, así como el total ajustado en euros que refleja el daño reputacional y su mitigación parcial con los desmentidos.

Metodología científica
Aplicando un modelo econométrico original basado en "marketing equivalente" –desarrollado en el marco de mi tesis en curso en el Doctorado de Periodismo en la Universidad Complutense, “Un modelo econométrico de reputación aplicado a la desinformación política: Infodemia y análisis de infovirus en España, 2025–2026”, dirigida por el doctor Fernando Peinado y centrada en la cuantificación econométrica de bulos, desinformaciones y malinformaciones y el papel del periodismo en su propagación o mitigación–, el balance neto ajustado revela el daño residual mencionado de 125.502,20 euros.
Este modelo transforma las impresiones e interacciones de los bulos y fake news en X, así como sus desmentidos, en términos de lo que costarían en euros si se pretendiera alcanzar el mismo impacto a través de publicidad pagada en la red social. El modelo aplica un CPM (coste por cada mil impresiones) de 6 euros (basado en benchmarks españoles como los de Brafton y Improvado, que sitúan de forma conservadora el promedio de precio entre 5-10 euros para campañas locales en 2026) y un CPE (coste por engagement) de 1 euro (algo superior al precio mediano global de 0.18-0.58 euros según Quantum IT y SQMagazine, para reflejar la alta competencia en temas polarizados en España). Esto es, modeliza el impacto reputacional en euros teniendo en cuenta la inversión que hubiera necesitado una marca para producir esos mismos impactos en publicidad.
El modelo incorpora un ajuste de amplificación en el precio total para capturar el coste efectivo de interacciones secundarias y propagación orgánica de esos bulos. Y hace lo propio con los desmentidos, de manera que puede presentar un balance reputacional (pérdidas y ganancias) de carácter persistente en el tiempo aplicado a la desinformación, donde los bulos serían las pérdidas y los desmentidos las ganancias.
Conclusión: la desinformación cuesta cara
El caso Adamuz evidencia que la desinformación genera un daño neto persistente, inicialmente de 577.512 euros, neutralizado parcialmente hasta los 125.502 euros equivalentes sólo en la red social X, incluso con desmentidos eficaces en el mismo canal. El ministro Puente y los organismos verificadores han conseguido mitigar el 78% del daño, pero la amplificación orgánica de bulos exige regulación urgente en X, más allá de las notas de contexto, y educación mediática de la sociedad. En El Constitucional, defendemos la idea central de nuestra tesis doctoral de que la verdad debe cuantificarse para combatir el caos digital de la infodemia.